Les chercheurs de SMBSO possèdent ont une longue expertise dans la synthèse de sondes de pH phosphorées, dont les pKa (entre 2 à 8), et la lipophilie sont modulés en fonction des compartiments cellulaires visés (J. Biol. Chem., 2000 ; J. Biol. Chem, 2001…)
Récemment, SMBSO a développé des sondes vectorisées pour atteindre la mitochondrie, puis réalisé in vivo des mesures simultanées du pH mitochondrial, de celui des vésicules acides ainsi que des gradients de pH transmembranaires (J. Med. Chem. 2013)
En particulier, la sonde mito-DEP-C8 (pKa 6.9) non cytotoxique aux concentrations utiles a permis la détermination non invasive du pH mitochondrial (7< pH <8) dans des cellules en conditions d’anaérobie (Meth. Mol. Biol., 2015)

Une série de nitroxydes linéaires, précis, sensibles et faiblement cytotoxiques a été désignée et synthétisée pour évaluer le pH intracellulaire en utilisant la spectroscopie RPE et appliquée à la mesure de l’acidité d’estomacs de rats (ChemBioChem, 2017).

De nouveaux procédés d’identification et quantification de marqueurs endogènes du stress oxydant (issus de l’oxydation des protéines et de l’ADN, marqueurs enzymatiques et inflammatoires) sont développés, suivis d’applications in vivo (Chem. Biol. Int., 2011, Redox Biol., 2014, Anal. Biochem., 2015, Talanta, 2017).

Les chercheurs ont mis au point un dispositif d’exposition à des particules ultrafines produites et diffusées en nombre et taille contrôlés, puis mis en œuvre : (i) des études d’impact d’une sélection de polluants atmosphériques sur le métabolisme et la fonction cardiaque (AMIDEX, ANR CES INTOX, ANR MitoDiaPM), (ii) l’étude de la génotoxicité de nanoparticules manufacturées (Chem. Biol. Int. 2012, Nanotoxicology, 2015).

Les chercheurs de SMBSO ont réalisé des mesures in vivo du stress oxydant chez l’humain dans le cadre de six études cliniques multicentriques et internationales menées en collaboration (maladies musculaires, Free Radic. Biol. Med., 2012 ; maladies cardiovasculaires, J. Transl. Med., 2014 ; maladies neurodégénératives, J. Physiol., 2019 ; J. Physiol., 2012 ; Exp. Physiol., 2011). Un de ces articles a été distingué par un Editorial (Acta Physiol. Scand., 2015).
Les chercheurs de l’équipe SMBSO mesurent les effets du stress oxydant in vitro (Antioxidants, 2020) et in vivo chez des animaux diabétiques (J. Ethnopharmacol., 2017) et dans des cellules cancéreuses (Eur. J. Pharmacol., 2017) mais développent de nouveaux antioxydants hybrides pour les limiter.
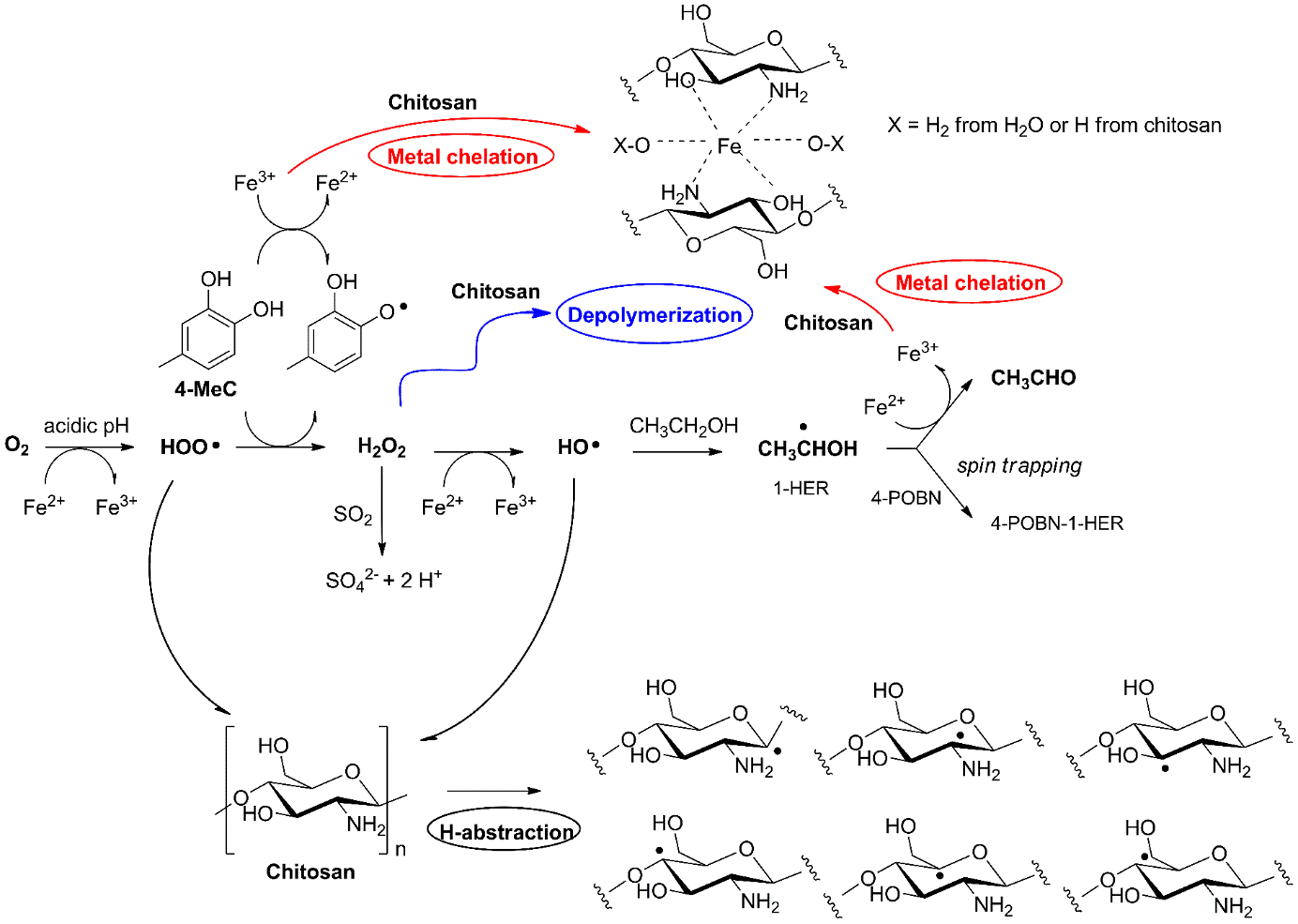
Un autre axe de recherche a été lancé en 2014 sur la préservation antioxydante du vin par de nouvelles alternatives naturelles au dioxyde de soufre. Les premiers résultats du laboratoire SMBSO (obtenus par HPLC et spectroscopie RPE) se sont concentrés sur le chitosane (Kitozyme, institut Œnologique de Champagne), un oligomère trouvé dans les champignons et les tests des crustacés et approuvé pour les processus de vinification. Le chitosane inhibe les mécanismes médiés par les radicaux libres de l’oxydation du vin induite par l’oxygène ou la lumière (Food Chem., 2019 ; Food Chem., 2021).

SMBSO poursuit le développement de familles de nitrones donnant des adduits persistants observables par RPE, dont une famille de sondes fonctionnalisées à faces diastéréotopiques qui permettent d’obtenir des spectres différents pour un même radical selon son origine cellulaire.
L’étude des spectres de RPE de l’adduit-OH a montré que les adduits cis et trans de ces nitrones sont individualisés, ce qui permet de discerner les situations où une réaction nucléophile est mise en jeu. Ces composés sont actuellement en cours d’exploitation au laboratoire dans l’étude de processus inflammatoires peu explorés jusqu’alors de manière directe faute de sondes adaptées (Free Radic. Biol. Med., 2006 ; Bioorg. Med. Chem., 2011)

D’autres nitrones ont été synthétisées portant un motif inspiré des flavonoïdes naturels et testées in vivo pour leurs propriétés cardioprotectrices (Eur. J Med. Chem., 2016).

Des nitrones substituées par un cation triphénylphosphonium pour cibler la mitochondrie et présentant des propriétés antiapoptotiques ont récemment été développées (Meth. Mol. Biol., 2020)
